端粒酶逆轉錄酶
的抗衰應用

專利權人:Sobei Genomics,Inc

 

技術領域:

摘要

本發明涉及增加細胞内端粒酶活性的端粒酶逆轉錄酶的抗衰應用。這樣的組合物含有藥物的(包括局部的)和營養補充的配方。所述方法和組合物通過增加患者細胞内或組織内端粒酶活性的療法來用于治療疾病,例如,HIV感染、各種變性疾病、以及急性或慢性皮膚營養品(aliments)。它們還可以用于增加培養細胞的複制能力,正如間接體内細胞療法和幹細胞的增殖。


本發明提供新的端粒酶基因和蛋白質,并涉及端粒酶的催化蛋白質成分,稱爲端粒酶逆轉錄酶(“TRT”)的克隆和表征。


特别是,本發明涉及從Euplotes aediculatus分離的端粒酶,這一端粒酶的123和43千道爾頓的兩個多肽亞單位,以及E.aediculatus端粒酶的裂殖酵母、其它酵母、四膜蟲、其它真菌、小鼠和其它哺乳動物同系物的多肽、核酸和序列。


增加端粒酶活性的端粒酶逆轉錄酶組合物和方法


發明領域


本發明涉及誘導細胞内端粒酶活性的方法和組合物。

技術背景和參考


 端粒酶


端粒酶是用于催化端粒末端的端粒重複的增加的核糖核蛋白。端粒是可以對染色體末端封端的重複序列的長序列,并且認爲可穩定染色體。在人體中,端粒典型具有7-10kb的長度并且包括序列-TTAGGG-的多個重複。端粒酶在絕大多數成人細胞中不表達,并且随着複制的連續循環,端粒長度減小。在一定數量的複制循環之後,端粒的漸進性減短會使細胞進入端粒的臨界階段,該階段反過來會導緻細胞的衰老。某些疾病與快速的端粒減短有關,從而導緻細胞過早衰老。在人細胞中表達編碼人端粒酶蛋白的基因顯示能賦予其永生表型,推測可能是繞過了細胞的自然衰老路徑。此外,顯示具有短端粒的老化細胞中的端粒酶基因的表達會使端粒長度增加并且儲存典型與年輕細胞有關的表型。


與瘤細胞和某種幹細胞相反,體細胞幾乎沒有或沒有端粒酶活性,并且當至少一些染色體的端粒末端減短到臨界長度時會停止分裂,導緻程序性的細胞衰老(細胞死亡)。由于在體細胞中導緻衰老的端粒重複序列的損失會通過低端粒酶活性而增加,因此端粒酶活性的誘導(其具有将大量端粒重複序列加入到端粒中的效果)可以給予臨死的細胞增加的複制能力、給予衰老細胞增殖能力并且适當地使得損傷組織一旦修複而脫離細胞循環。[0006]   在體細胞中增加端粒酶活性的潛在治療優勢包括,例如,AIDS治療(其特征在于細胞毒T淋巴細胞(CD8+細胞)的過早衰老,該細胞作用是殺死感染的CD4'細胞)(見,Dagarag等人,2003);阿爾茨海默氏患者的神經保護(見,Mattson等人,2000);例如腎上腺皮質細胞的傷口愈合和保持(見,Thomas等人,2000)或者骨髓或基質/間質的移植細胞(見,Simonsen等人,2002)。


發明内容


通常,本發明涉及增加細胞内端粒酶活性的方法以及用于此方法的組合物。可以将此方法和組合物用于細胞培養中的細胞(即體外或間接體内、或直接體内培養),例如在體内(包括人體和非人類動物,尤其是非人類哺乳動物)組織上成長的細胞。


在特别的實施方案中,組合物包括具有下述通式I、II或II的化合物。本發明的方面包括用于化妝品、營養補充和藥物的應用的這種化合物的配方,尤其在細胞中增加的端粒酶活性顯示出,或者希望顯示出有益處的應用中。還提供了将所述化合物及其配方用于此類應用中的方法,包括在确定需要或利于增加細胞或組織内端粒酶活性之後,應用或施用這類配方的方法。


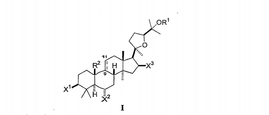
本發明還包括,在一個方面,增加細胞或組織内端粒酶活性的方法。所述方法包括使細胞或組織與具有下列通式I、Ⅱ或II的孤立化合物的配方接觸。在優選的實施方案中,化合物是具有下列通式I或Ⅱ的。所述方法進一步包括确定細胞或組織中的端粒酶活性需要增加的前序步驟。


在具有通式I的化合物中:

1.png 

 每個X¹、X²和X²單獨地選自羟基、低烷氧基、低酰氧基、酮基或苷;

OR'選自羟基、低烷氧基、低酰氧基、或苷;

其中所述苷上的任何羟基基團可以由其它的苷、低烷基或低酰基取代,以使化合物含有最多三個苷;

以及 R²是甲基和=表示碳9和11之間的雙鍵;或者R²與碳9一起形成稠環丙基環,而=表示碳9和11之間的單鍵。

優選地,所述化合物包括0、1或2,更優選地0或2個苷,其均沒有由其它苷取代。優選地,每個所述苷是D(自然發生的)構型的。

在選定的通式I實施方案中,每個X¹和X²單獨地選自羟基、低烷氧基、低酰氧基、或苷;而X³單獨地選自羟基、低烷氧基、低酰氧基、酮基或苷。在進一步的實施方案中,X¹是OH或苷,每個X²和OR'單獨地爲OH或苷,而X²爲OH或酮基。通式I的示例性化合物包括黃芪甲苷IV、環黃芪醇、黃芪醇、黃芪甲苷IV 16酮、環黃芪醇6-β-D-吡喃葡糖甙、和環黃芪醇3-β-D-吡喃木糖苷。在選定的實施方案中,所述化合物選自黃芪甲苷IV、環黃芪醇、黃芪醇或黃芪甲苷IV 16酮。在一個實施方案中,化合物是黃芪甲苷IV。

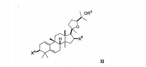
在具有通式II的化合物中:

2.png 

每個X*和X⁵單獨地選自羟基、低烷氧基、低酰氧基、酮基或苷,和[0086]  OR³選自羟基、低烷氧基、低酰氧基、或苷,

其中所述苷上的任何羟基基團可以由其它的苷、低烷基或低酰基取代,以使化合物含有最多三個苷。

優選地,所述化合物包括0、1或2個苷,其均沒有由其它苷取代;每個所述苷有選是D構型的。

在選定的具有通式Ⅱ的實施方案中,每個X和OR³單獨地選自羟基、低烷氧基、低酰氧基或苷;而X⁵選自羟基、低烷氧基、低酰氧基或酮基(=0)。在進一步的實施方案中,X*是OH或苷,而每個X⁵和OR³爲OH。在一個實施方案中,x*是OH。[0090]  在具有通式IⅡ的化合物中:

3.png 

每個x⁶、X⁷和x⁸單獨地選自羟基、低烷氧基、低酰氧基、酮基或苷,和0R*選自羟基、低烷氧基、低酰氧基、或苷,[0094]   其中所述苷上的任何羟基基團可以由其它的苷、低烷基或低酰基取代,以使化合物含有最多三個苷。

優選地,所述化合物包括0、1或2個苷,其均沒有由其它苷取代;每個所述苷是D構型的。

每個x⁶、X⁷和x⁸單獨地選自羟基、低烷氧基、低酰氧基、酮基或苷,和[0093]  0R*選自羟基、低烷氧基、低酰氧基、或苷,

其中所述苷上的任何羟基基團可以由其它的苷、低烷基或低酰基取代,以使化合物含有最多三個苷。

優選地,所述化合物包括0、1或2個苷,其均沒有由其它苷取代;每個所述苷是D構型的。

在選定的具有通式II的實施方案中,每個x⁶、X'、x⁸和OR*單獨地選自羟基、低烷氧基、低酰氧基或苷,優選羟基和苷。在進一步的實施方案中,每個x⁸和OR²是OH,而每個x⁶和X²單獨地選自羟基或苷。在更進一步的實施方案中,每個OR²、X⁸和X⁸爲OH,而X²爲苷。通式III的示例性化合物是人參皂甙RH1。

當上述通式I、I或III的優選化合物以1μg/ml或低于lμg/ml的濃度溶于溶劑進行配制時,該化合物在角質形成細胞或成纖維細胞中對産生一定水平的端粒酶活性(以TRAP法進行測定)有效,該水平比隻用所述溶劑處理的所述細胞中的水平高至少50%(以此處所述的TRAP法進行測定)。在進一步優選的實施方案中,該化合物在角質形成細胞或成纖維細胞中對産生一定水平的端粒酶活性(以TRAP法進行測定)有效,該水平比隻用所述溶劑處理的所述細胞中的水平高至少100%。

通式I-III的示例性化合物包括圖1中所描述的化合物和此處所指定的1(黃芪甲苷IV)、2(環黃芪醇)、3(黃芪醇)、4(黃芪甲苷IV 16酮)、5(20R,24S-環氧-3β,16β,25-三羟基-9β-甲基-19-norlanost-1,5-二烯烴)、6(環黃芪醇6-β-D-吡喃葡糖甙)、7(環黃芪醇3-β-D-吡喃木糖苷)和8(人參皂甙RH1)。在選定的實施方案中,所述化合物選自此處所指定的1(黃芪甲苷IV)、2(環黃芪醇)、3(黃芪醇)、4(黃芪甲苷IV 16酮)、5(20R,24S-環氧-3β,16β,25-三羟基-9β-甲基-19-norlanost-1,5-二烯烴)、6(環黃芪醇6-β-D-吡喃葡糖甙)或7(環黃芪醇3-β-D-吡喃木糖苷)。在進一步的實施方案中,所述化合物選自此處所指定的1、2、3、4、或5。在一個實施方案中,所述化合物是黃芪甲苷IV(1)或環黃芪醇(2)。

使通式I、Ⅱ或IⅡ的孤立化合物的配方與細胞或組織接觸的方法可以包括,在所述接觸之前,确定需要增加端粒酶活性的細胞或組織。通過增加細胞或組織内端粒酶活性而實現的優點包括,例如,複制能力的增強和/或所述細胞或所述組織内細胞的生命延長。[0100]  所述方法可以包括診斷主體需要增加細胞或組織内端粒酶活性的情況,并且将配方施用于主體。優選地,物體是哺乳類主體,例如人類主體或患者。這樣的情況可以包括,例如,HIV感染,各種變性疾病如神經變性疾病、骨頭或關節變性疾病、黃斑病變、動脈粥樣硬化或貧血。這樣的情況還包括創傷或其它表皮的急性或慢性疾病,如燒傷、擦傷、割傷、錯位、由感染因子導緻的傷害、慢性靜脈曲張性潰瘍、糖尿病性潰瘍、壓迫潰瘍、褥瘡、粘膜潰瘍或疤痕瘤形成。

因此,本發明提供通過增加病患細胞或組織中的端粒酶活性來治療病患如上所述的疾病的方法,所述方法包括對需要這類治療的病患施用如上定義的通式I、通式Ⅱ或通式IⅡ的孤立化合物的配方。可以通過各種途徑,如口服、局部或非腸道地使用組合物。[0102]  本發明進一步提供診斷處于病态的主體,使其通過增加主體細胞或組織内端粒酶活性,且對需要所述治療的主體使用在藥物載體中的上述通式I、IⅡ或IIⅡ的化合物,優選通式I或Ⅱ的化合物來進行治療。

在另一方面,本發明提供治療表皮急性或慢性疾病的方法,包括使表皮細胞與如上所述的通式I、通式Ⅱ或通式IⅡ的孤立化合物的局部配方接觸。在優選實施方案中,化合物是具有通式I或通式Ⅱ的。在進一步的實施方案中,化合物選自TA-65、環黃芪醇、黃芪甲苷IV 16酮、環黃芪醇6-β-D-吡喃葡糖甙、環黃芪醇3-β-D-吡喃木糖苷和20R,24S-環氧-3β,16β,25-三羟基-9β-甲基-19-norlanost-1,5-二烯烴(在此指定爲5)。

與配方接觸的細胞也可以包括間接體内地接觸的移植細胞,如用于基于細胞治療,或培養中的其它細胞。因此,本發明提供一種增強體外或間接體内的細胞的複制能力的方法,包括使所述細胞與有效量含有上述通式I、通式I或通式III的組合物(包括上述選定實施方案中的化合物)接觸。在優選實施方案中,化合物是包括上述選定實施方案中的通式I或通式II的化合物。通常,細胞是非轉化的哺乳動物細胞;在選定實施方案中,細胞是幹細胞,如骨髓幹細胞、骨髓基質細胞、年輕或早期傳代的皮膚成纖維細胞、胰島前體細胞、神經球細胞、腎上腺皮質細胞、肌衛星細胞、造骨細胞、視網膜色素上皮細胞和HIV-限制的CD8*細胞。

在相關方面,本發明提供一種藥物組合物,包括藥物上可接受載體中的如上所述通式I的化合物,其中:

每個X'、X²單獨地選自羟基、低烷氧基、低酰氧基、酮基,或苷;[0107]  X₃是酮基;

OR'選自羟基、低烷氧基、低酰氧基、或苷;

其中所述苷上的任何羟基基團可以由其它的苷、低烷基或低酰基取代,以使化合物含有最多三個苷;以及R²是甲基和二表示碳9和11之間的雙鍵;或者在優選的實施方案中R²與碳9一起形成稠環丙基環,而二表示碳9和11之間的單鍵。

優選地,所述化合物包括0、1或2個苷,其均沒有由其它苷取代,且每個所述苷是D構型的。

在選定的實施方案中,每個x¹是OH或苷,而每個X²和OR¹單獨地是OH或苷。在

一個實施方案中,所述化合物是黃芪甲苷IV 16酮(此處指定爲4)。

或者,所述組合物包括,在藥物上可接受的載體中的,如上所述的通式I的化合物,其中:

X¹和X²中的一個選自羟基、低烷氧基、低酰氧基、或酮基,而另一個是苷;[0115]  每個X₃和OR'單獨地選自羟基、低烷氧基、低酰氧基、或苷;

其中所述苷上的任何羟基基團可以由其它的苷、低烷基或低酰基取代,以使化合物含有最多三個苷;以及R²是甲基和二表示碳9和11之間的雙鍵;或者在優選的實施方案中R²與碳9一起形成稠環丙基環,而=表示碳9和11之間的單鍵。

優選地,所述化合物包括1個苷,其沒有由其它苷取代,且所述苷是D構型的。在

一個實施方案中,所述化合物選自環黃芪醇6-β-D-吡喃葡糖甙(在此指定爲6)或環黃芪醇3-β-D-吡喃木糖苷(在此指定爲7)。

或者,所述藥物組合物包括,在藥物上可接受的載體中的,如上所述的通式Ⅱ的化合物。所述化合物的選定實施方案也如上所定義。在一個實施方案中,所述化合物是此處指定的5。

本發明還提供如上所述通式Ⅱ的化合物,包括如上所述的選定實施方案。在一個實施方案中,所述化合物是此處指定的5。[0121]  在相關方面,本發明提供如上所述通式I、通式IⅡ或通式IIⅡ的孤立化合物的局部藥物配方。所述化合物的選定實施方案也如上所定義。在優選的實施方案中,化合物是具有下列通式I或Ⅱ的。在進一步的實施方案中,化合物選自黃芪甲苷IV、環黃芪醇、黃芪醇、黃芪甲苷IV 16酮、環黃芪醇6-β-D-吡喃葡糖甙、環黃芪醇3-β-D-吡喃木糖苷和20R,24S-環氧-3β,16β,25-三羟基-9β-甲基-19-norlanost-1,5-二烯烴(在此指定爲5)。局部配方典型包括一種或多種選自乳化劑、增稠劑或潤膚劑的成分。這樣的組合物可以用于創傷或其它表皮的急性或慢性疾病的治療。

在另一個相關方面,本發明提供營養補充的組合物,包括如上所述通式I、通式I或通式IⅡ的孤立化合物的營養補充配方。所述化合物的選定實施方案也如上所定義。在優選的實施方案中,化合物是包括選定的也如上所定義的實施方案,具有下列通式I或I的。在進一步的實施方案中,所述化合物選自黃芪甲苷IV、環黃芪醇、黃芪醇、黃芪甲苷IV16酮、環黃芪醇6-β-D-吡喃葡糖甙、環黃芪醇3-β-D-吡喃木糖苷和20R,24S-環氧-3β,16β,25-三羟基-9β-甲基-19-norlanost-1,5-二烯烴(在此指定爲5)。在進一步的實施方案中,除所述通式I、IⅡ或II的孤立化合物以外,所述營養補充配方還包括營養補充的草本提煉精華,其可以是蒙古黃芪的提煉精華。

包括如上所述的選定實施方案的所述通式I、II或III的孤立化合物還可以用于治療可以通過增加細胞内或組織内端粒酶活性來進行治療的疾病的藥劑制備。這類疾病的例子在下面會詳細讨論。相似地,包括如上所述的選定實施方案的所述通式I、Ⅱ或II的孤立化合物還可以用于表皮的急性或慢性疾病治療的藥劑制備。在上述用途的優選的實施方案中,所述孤立化合物是具有下列通式I或Ⅱ的,包括如上所述的通式I或通式Ⅱ的選定實施方案。

本發明還提供一種選擇對增加細胞内端粒酶活性有效的化合物的方法。根據這個方法,測試如上所述的通式I、通式Ⅱ、通式II的化合物的衍生物增加角質形成細胞或成纖維細胞成纖維細胞中端粒酶活性的能力,根據此處所述的TRAP法測定的。當如果衍生物以溶劑配制,且以1μg/ml或低于1μg/ml的濃度使用,并對角質形成細胞或成纖維細胞中産生一定水平的端粒酶活性(以TRAP法進行測定)有效,該水平比隻用所述溶劑處理的所述細胞中的水平高至少50%,優選高至少100%時,可選擇此衍生物。然後可以将所述衍生物與局部、藥物或營養補充的載體進行配制。

在相關方面,本發明還提供選擇治療表皮急性或慢性疾病的試劑的方法。根據這個方法,使用(皮膚)劃痕試驗方法測試如上所述的通式I、通式Ⅱ、通式IⅡ的化合物的衍生物在角質形成細胞或成纖維細胞中的傷口愈合能力,如果相比于所述對照溶液處理的對照,使用lμg/ml或少于lμg/ml濃度的該衍生物高至少50%,優選高至少100%的傷口愈合活性,則可以選擇該衍生物。然後可以将所述衍生物與局部載體進行配制。